网站首页
关于锐源
企业文化
联系我们
产品中心
水力控制阀系列
软密封闸阀系列
硬密封闸阀系列
止回阀系列
蝶阀系列
铸钢阀门系列
排气阀系列
新闻中心
行业资讯
公司动态
技术文章
常见问题
生产场景
INTEGRITY
留言
概述: 对夹式蝶阀根据顾客需要,可供应加长节,接于H2尺寸上端,以提高操作高度。
服务热线:
19030670310
所属分类:
产品描述
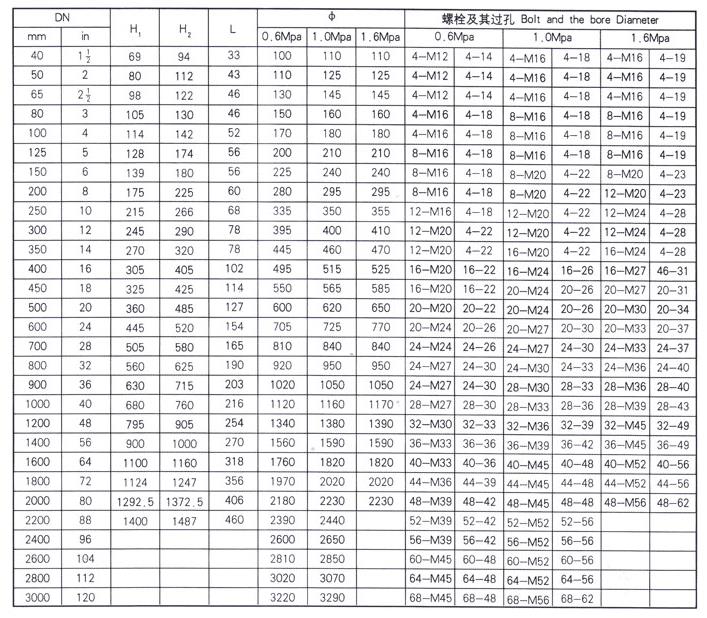
对夹式蝶阀阀体外形及连接尺寸注:
l、连接尺寸符合GB4216或GBl2380。
2、根据长度符合GBl2221。
3、根据顾客需要,可供应加长节,接于H2尺寸上端,以提高操作高度。
上一篇:
法兰式蝶阀
对夹式蝶阀
下一篇: